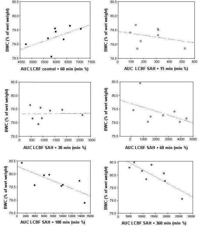
Scatter plots representing the correlation between the AUC of ipsilateral LCBF and brain water content (BWC) in the 6 experimental groups. Note the increasing negative correlation with increasing time after induction of SAH. Numeric values are depicted in Tables 1 and 2.